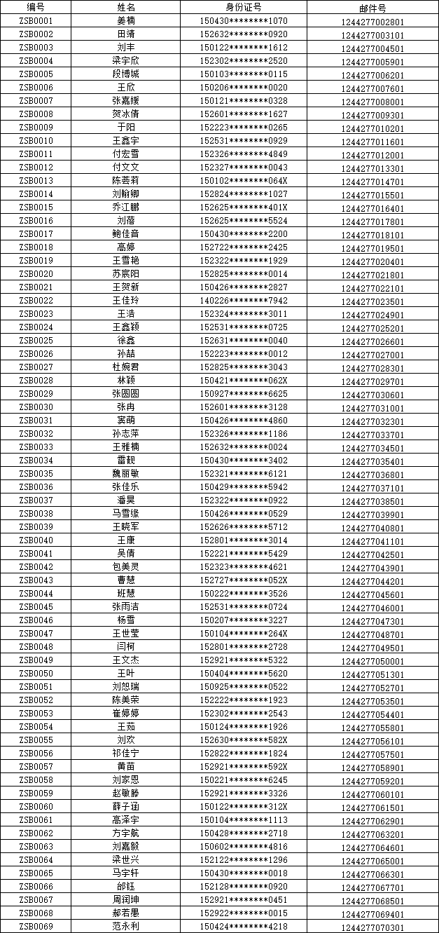
2023年河套学院专升本录取通知书邮寄单号,避免考生档案在邮寄过程中丢失,如果生源院校允许考生自带档案,强烈建议考生报到时自带档案。如果生源院校不允许考生自带档案,请进行邮寄。
全部单号查看附件【河套学院2023年专升本录取通知书邮寄单号.xlsx】


以上就是内蒙古专升本网给大家推送的2023年河套学院专升本录取通知书邮寄单号~各位考生可加入【内蒙古专升本考生交流群】与同学们一起交流,或【在线咨询老师】与专业的报名指导老师开展一对一交流,帮助考生攻克基础知识薄弱、攻坚考试重点难点等困难,得到专属于自己的解答。敬请关注我们吧!

内蒙古专升本声明
(一)由于考试政策等各方面情况的不断调整与变化,本网站所提供的考试信息仅供参考,请以权威部门公布的正式信息为准。
(二)本网站在文章内容来源出处标注为其他平台的稿件均为转载稿,免费转载出于非商业性学习目的,版权归原作者所有。如您对内容、版权等问题存在异议请于我们联系,我们会及时处理。
文章来源于网络,如有侵权,请联系删除

报名官网
福利领取
报名条件
考试时间
志愿填报
考试科目 

