2023年内蒙古专升本考试报名已经结束啦,同学们现在都比较关心2023年内蒙古专升本招生计划和各本科院校招生简章。
目前只有【内蒙古鸿德文理学院】出了招生简章,(点击→内蒙古鸿德文理学院查看),其余并未公布。虽然2023年内蒙古专升本招生计划和招生简章尚未公布,但我们可以根据2022年的招生计划与招生简章进行合理推测!
点击加入:2023年内蒙古专升本考生交流群,和其他考生一起学习吧!
真题怎么找:22年专升本真题正在持续整理中,大家可以关注【传爱内蒙古专升本】微信公众号,了解内蒙古专升本的相关资讯,避免漏掉重要信息。
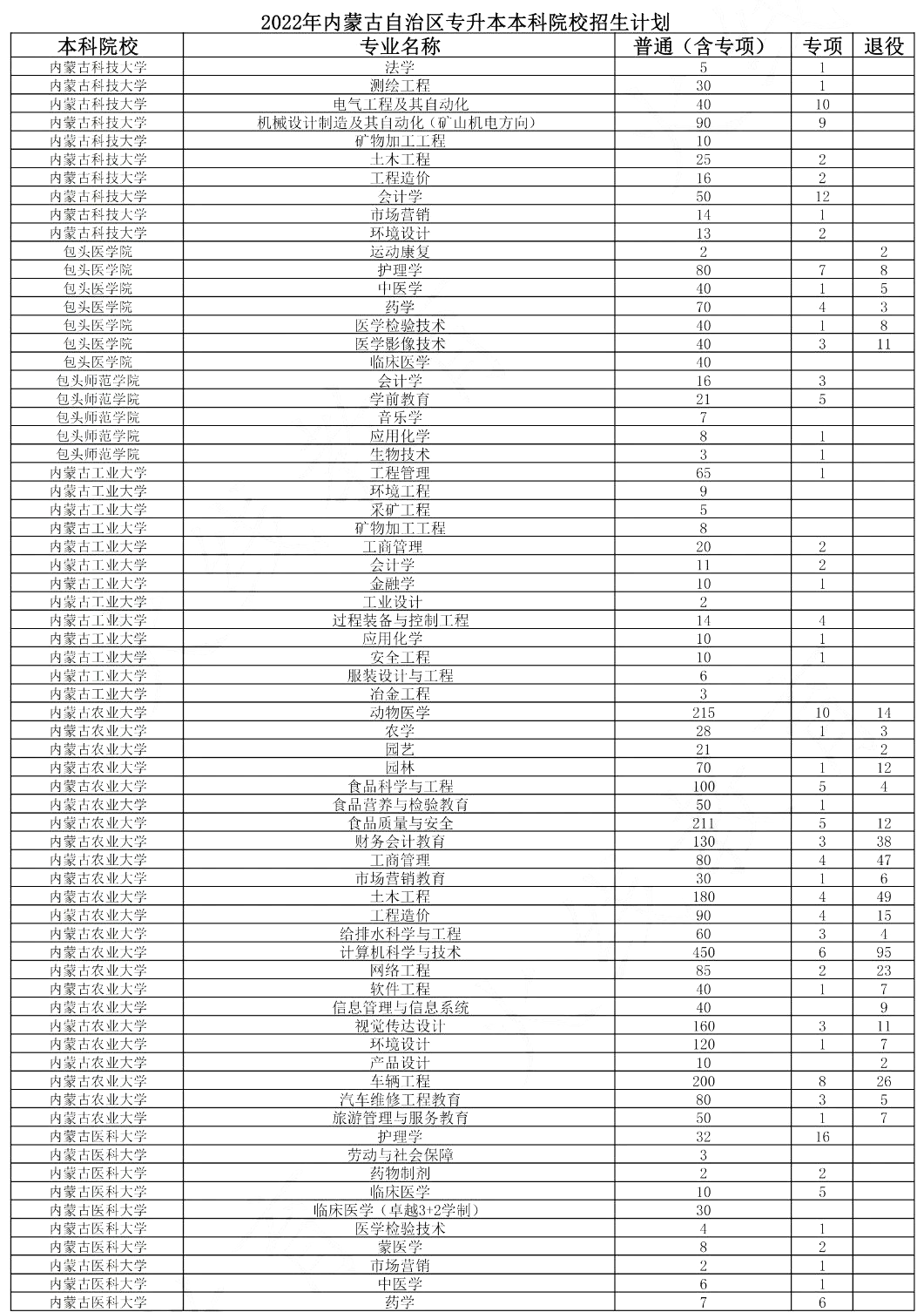
2022内蒙古专升本招生计划




各位考生可【在线咨询老师】与专业的报名指导老师开展一对一交流,帮助考生攻克基础知识薄弱、攻坚考试重点难点等困难,得到专属于自己的解答。敬请关注我们吧!
以上就是关于“2023年内蒙古专升本招生计划何时公布?”的全部内容,考生如果想获得更多关于内蒙古专升本院校、报名时间、常见问题、相关资讯,如专升本动态、招生简章、招生计划、考试科目、考试大纲等相关信息,敬请关注内蒙古专升本网:http://www.nmgzsb.cn/

内蒙古专升本声明
(一)由于考试政策等各方面情况的不断调整与变化,本网站所提供的考试信息仅供参考,请以权威部门公布的正式信息为准。
(二)本网站在文章内容来源出处标注为其他平台的稿件均为转载稿,免费转载出于非商业性学习目的,版权归原作者所有。如您对内容、版权等问题存在异议请于我们联系,我们会及时处理。
文章来源于网络,如有侵权,请联系删除

报名官网
福利领取
报名条件
考试时间
志愿填报
考试科目 

